52-摄像机系统设计
完成了图形的绘制等相关内容后,现在需要实现通过键盘和鼠标在场景中漫游
摄像机使用
WASD: 代表前/左/后/右平移
鼠标右键: 点往左右移动——左右观望; 点往上下平移——上下点头

摄像机类的设计

摄像机旋转——front的y值


回顾摄像机矩阵构建
已知方向向量f以及顶部向量t,可知:

已知方向向量f以及右部向量r,可知:

添加LookAt函数
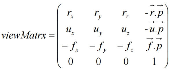
已知ViewMatrix的构成如下:

LookAt函数可如下设计:

All articles on this blog are licensed under CC BY-NC-SA 4.0 unless otherwise stated.
