20-代数余子式与逆矩阵
矩阵代数余子式
余子式: 指定矩阵A当中某一元素a,去掉a所在行列的所有元素,剩余元素的行列式;如下图所示,元素a10的余子式如下。用M10表示

代数余子式: 在余子式前面加上符号项;假设当前余子式为Mij,则代数余子式为

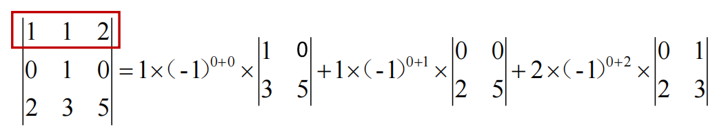
使用代数余子式求行列式
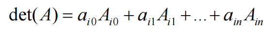
某一行元素的代数余子式与该行元素相乘并相加,结果为行列式

举例:

代数余子式的异乘变零定理
某一行元素的代数余子式与另一行元素相乘并相加,结果为0

可以观察到,左边下面的式子计算的矩阵行列式和右边式子计算的矩阵行列式是同一个,根据行列式的性质可知,当有两行元素相同时,行列式为0,故异乘变零
回顾逆矩阵
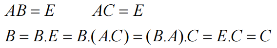
定义: 若矩阵A为n阶方阵,若存在另一个n阶方阵B,使得
则B为A的逆矩阵,A也是B的逆矩阵,记作:
未必所有方阵可逆,若可逆,逆矩阵唯一
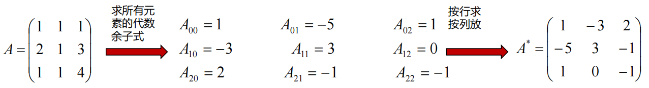
伴随矩阵
只有方阵才有伴随矩阵;求出所有元素的代数余子式,按行求的代数余子式案列排放,构成矩阵的伴随矩阵
通用写法为:
矩阵乘以伴随矩阵等于行列式乘以单位矩阵
定理: (其中|A|表示矩阵A的行列式)
证明:
可以观察到矩阵乘以伴随矩阵,根据矩阵乘法定义,对应行乘对应列,得到的就是该元素乘以代数余子式,也就是该矩阵的行列式;而当某行元素乘以不对应的列元素,就是其他元素乘以某列代数余子式,根据异乘变零定理,得到0;所以最终得到行列式结果乘以单位矩阵的样子
方阵A可逆的充分必要条件
证明:
假设矩阵A满足|A|≠0
All articles on this blog are licensed under CC BY-NC-SA 4.0 unless otherwise stated.
