19-矩阵行列式的几何意义
基向量
描述一个三维空间中所有的点,就需要一个基础的坐标系,比如xyz三个轴,由(1,0,0)/(0,1,0)/(0,0,1)三个向量代表,构成了三维空间的一组基
空间中所有的点坐标都可以表示为这一组基向量的线性组合,比如(3,1,2)这个点可以表示为:

三维空间也可以存在其他的基向量组的选择,比如(1,1,0)/(0,1,1)/(1,0,1)
一个三维矩阵的列向量,也按序构成了一组基向量

行列式几何意义
一个矩阵可以看作多个列(行)向量的组合
只考虑二维和三维行列式:
(1)二维矩阵行列式是列(行)向量张成的平行四边形的有符号面积
(2)三维矩阵行列式是列(行)向量张成的平行六面体的有符号体积


有向面积
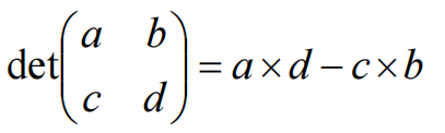
当我们的矩阵列是a与b两个向量构成时,需要计算其面积,就可以使用向量的叉乘(二维情况下与叉乘算法一致),即如下公式
有向体积
(1)矩阵由三个向量构成,且如图10逆时针摆放,则行列式为正,是正体积,此时为右手坐标系 (2)矩阵由三个向量构成,且如图11顺时针摆放,则行列式为负,是负体积,此时为左手坐标系
证明行列式与有向体积相等
目标:对矩阵A,其列(行)向量张成的平行六面有向体积与A的行列式相等
证明思路————由“18-行列式性质与矩阵简化”中得到的结论:
对于矩阵A,定义一种运算F(A),满足:
(1)任何一行数据,共同乘以c得到A`,则F(A`)=F(A)*c
(2)更换两行数据位置,得到A`,则F(A`)=-F(A)
(3)如果A是单位矩阵,则F(A)=1
(4)某一行数据乘以数字c,加到其他行上,得到A`,则F(A`)=F(A)
运算F(A)具有唯一性
如果能够证明体积的计算也满足上述性质,则可以确定体积的计算与行列式计算完全等同
证明性质(一)
任何一行数据,共同乘以k得到A`,则F(A`)=F(A)*k
证明性质(二)
更换两行数据位置,得到A`,则F(A`)=-F(A)
证明性质(三)
如果A是单位矩阵,则F(A)=1
证明性质(四)
某一行数据乘以某一数字k,加到其他行上,得到A`,则F(A`)=F(A)
结论
以上过程,证明计算本平行六面体体积的函数F(A)满足初等变换性质,由F(A)的唯一性可知: 矩阵列(行)向量按序排列构成平行六面体的有向体积计算与其行列式计算等价
