14-矩阵概论
Created|Updated|图形学工程&工业仿真1-图形学,构建软光栅
|Post Views:
什么是矩阵?
排列如下,m×n的数字阵列称为矩阵

【单位矩阵】

【矩阵运算】
【矩阵加法】

【矩阵乘法】

【矩阵乘法规则】

【矩阵与向量相乘】

【矩阵转置】


【矩阵转置的性质】

【逆矩阵】

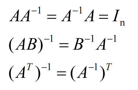
【逆矩阵运算性质】

Author: LYJ
Copyright Notice: All articles on this blog are licensed under CC BY-NC-SA 4.0 unless otherwise stated.
Announcement
This is Seagull Blog
Contents
Post Series
