绘制的图形面积大于粘贴的纹理图片时,会出现明显的颗粒感,怎么解决这个问题?

过采样(Over-Sampling)

如图片宽高为100×100,而绘制的矩形为600×800,也就是需要用10000个像素去表达480000个像素格,根据”11-uv坐标与纹理贴图”我们知道,其中那些没有准确对应的像素格的颜色是接近临近图片像素的颜色,最终显示的效果就比较模糊、有颗粒感。需要的数据比图片上的像素要多,称之为“过采样”

双线插值采样

怎么产生新的像素颜色值给那些需要的像素格?

图-1

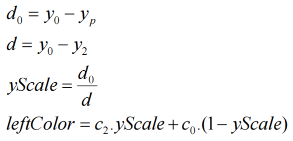
可以使用直线插值算法得到p点在图片上的颜色值,先计算0到2相同y坐标下的left点与1到3相同y坐标下的right的颜色值,然后就可以再使用直线插值算法计算出left到right两点间p点的颜色值

第一次线性插值计算

图-2

图-3

其中c0,c2表示点0与点2的颜色

第二次次线性插值计算

图-4

图-5

代码实现

Raster.cpp

RGBA Raster::lerpRGBA(const RGBA& c0, const RGBA& c1, float weight) {
RGBA result;

result.mR = static_cast<float>(c1.mR) * weight + static_cast<float>(c0.mR) * (1.0f - weight);
result.mG = static_cast<float>(c1.mG) * weight + static_cast<float>(c0.mG) * (1.0f - weight);
result.mB = static_cast<float>(c1.mB) * weight + static_cast<float>(c0.mB) * (1.0f - weight);
result.mA = static_cast<float>(c1.mA) * weight + static_cast<float>(c0.mA) * (1.0f - weight);

return result;
}

gpu.cpp

双线插值采样

RGBA GPU::sampleBilinear(const math::vec2f& uv) {
RGBA resultColor;

//先根据当前uv值获取在图片上对应的坐标x,y(保留为float,精确的坐标点)
float x = uv.x * static_cast<float>(mImage->mWidth - 1);
float y = uv.y * static_cast<float>(mImage->mHeight - 1);

int left = std::floor(x); //向下取整,得到left像素中心点x
int right = std::ceil(x); //向上取整,得到right像素中心点x
int bottom = std::floor(y);//向下取整,得到bottom像素中心点y
int top = std::ceil(y); //向下取整,得到top像素中心点y

//第一次线性插值: 对上下插值,得到左右对应当前y的left,right点
float yScale = 0.0f;
if (top == bottom) {
yScale = 1.0f;
}
else {
yScale = (y - static_cast<float>(bottom)) / static_cast<float>(top - bottom);
}

//计算出在数组中的具体位置
int positionLeftTop = top * mImage->mWidth + left;
int positionLeftBottom = bottom * mImage->mWidth + left;
int positionRightTop = top * mImage->mWidth + right;
int positionRightBottom = bottom * mImage->mWidth + right;

RGBA leftColor = Raster::lerpRGBA(mImage->mData[positionLeftBottom], mImage->mData[positionLeftTop], yScale);
RGBA rightColor = Raster::lerpRGBA(mImage->mData[positionRightBottom], mImage->mData[positionRightTop], yScale);

//第二次线性插值: 对左右插值,得到结果
float xScale = 0.0f;
if (right == left) {
xScale = 1.0f;
}
else {
xScale = (x - static_cast<float>(left)) / static_cast<float>(right - left);//权重
}

resultColor = Raster::lerpRGBA(leftColor, rightColor, xScale);

return resultColor;
}