06-线性代数,向量基础
向量?
概述:
一个有方向,有大小的东西(在数学或物理场景中出现)
向量的表示

向量的长度(模)与单位向量

向量的运算
1.向量加法

2.向量点乘(标量积)

(1) 向量点乘定义一致性证明

(2) 向量点乘运算性质

(3) 向量点乘的应用1: 计算向量a在b上的投影向量

(4) 向量点乘的应用2: 判断两个向量是否同向

2.向量叉乘(向量积)

三维向量的几何意义
1. 两个向量叉乘可以产生垂直于他们的法向量,方向满足右手法制
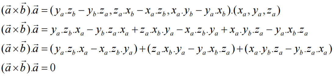
证明:
将叉乘结果与向量a点乘,结果为0则向量积与向量a垂直;同理,将向量积点乘向量b,通过结果是否为0判断是否垂直

2. 向量积的长度等于两个向量的长度的乘积乘以夹角正弦值

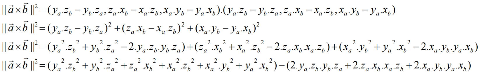
证明:
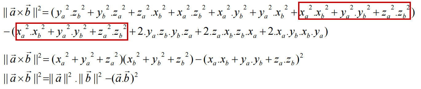
叉乘结果取模,进行平方操作

等式右侧加上,再减去

于是得到如下:

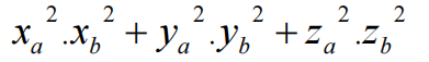
由向量点乘可知:

最终可得到:

向量几何意义的应用1:计算三角形面积

向量几何意义的应用2:判断点是否在三角形内部

All articles on this blog are licensed under CC BY-NC-SA 4.0 unless otherwise stated.
